Misturas perigosas: 2) Água sanitária e álcool
Sábado, 6 de dezembro de 2025
Última modificação: Sábado, 6 de dezembro de 2025
Outra mistura de produtos de limpeza considerada perigosa para a saúde humana é a junção de água sanitária com álcool de limpeza. Como já apresentado na parte 1 de Misturas Perigosas, a água sanitária é um desinfetante e alvejante comercial, cujo princípio ativo é o sal hipoclorito de sódio (NaClO), e apresenta pH básico devido à presença de bases como o hidróxido de sódio (NaOH) e carbonato de sódio (Na2CO3). Graças ao seu pH básico, o NaClO não é convertido em ácido hipocloroso (HClO), a substância desinfetante da água sanitária. Isso só ocorre de forma efetiva quando o produto é diluído em água, pois o NaClO hidrolisa gerando HClO (pKa 3,8*10-8, a 30oC), como ilustrado a seguir:

O álcool de limpeza, por sua vez, é uma mistura de álcool etílico (etanol) em água, sendo encontrado facilmente em mercados com a graduação de 54 °GL (54% v v-1). Este tipo de álcool diluído em água é utilizado para a limpeza de superfícies e vidros, evaporando rápido sem deixar resíduos. O processo de desinfecção eficiente, por sua vez, demanda o álcool de graduação 70 °GL.
Infelizmente, algumas pessoas buscam potencializar os efeitos de ambos os produtos de limpeza fazendo misturas caseiras, o que pode acarretar problemas de saúde muito sérios. Isso, pois forma-se clorofórmio (CHCl3) ao longo do tempo. Sua inalação pode causar tosse, falta de ar, tonturas, sonolência, dor de cabeça, náuseas e perda de consciência. Ao entrar em contato direto com a pele, pode ser absorvido e causar vermelhidão, dores e ressecamento da pele.
Outra potencial substância nociva gerada pela mistura de água sanitária e álcool de limpeza é o acetaldeído (CH3COH). Porém, como o acetaldeído é o precursor do clorofórmio, seu acúmulo pode ser limitado. Ainda assim, não vale a pena correr o risco de passar mal com mais essa substância: tosse, se inalado. Vermelhidão e dor nos olhos e na pele por meio de contato.
Na imagem, a seguir, tem-se a reação de oxirredução em que o oxidante HClO oxida o álcool etílico a acetaldeído. Uma parcela de HClO é formada na hidrólise do sal de hipoclorito de sódio devido ao montante de água do álcool etílico na mistura, responsável por reduzir um pouco o pH da mistura. Na reação, o HClO se reduz a íons cloreto, considerando que os íons hidrônio (H3O+) serão consumidos no meio básico da água sanitária. Obs.: note que na oxirredução, o nox do cloro diminui, pois o HClO sofre redução e o nox do carbono ligado ao oxigênio, no álcool etílico, aumenta pois este carbono sofre oxidação. Como o nox varia de -1 a +1 no álcool etílico, esta substância perdeu 2 elétrons na oxidação. Já o cloro do HClO ganhou esses dois elétrons na reação de redução.

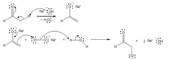
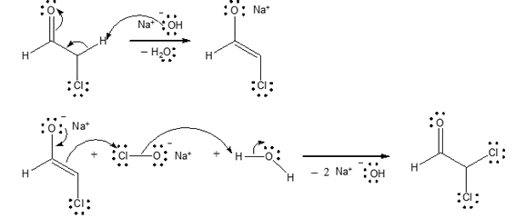
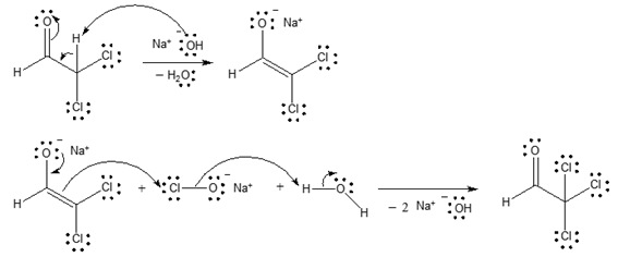
O acetaldeído, por sua vez, em meio básico participa de uma reação ácido-base. Um dos hidrogênios beta, ligados no carbono vizinho da carbonila, reage com o íon hidróxido (–OH ) formando água, enquanto o acetaldeído se converte em um enolato. Na sequência, o enolato reage com um ânion hipoclorito formando o 2-cloroacetaldeído. Na sequência, mantendo o padrão das reações citadas, o 2-cloroacetaldeído forma o 2,2-dicloroacetaldeído e este forma o 2,2,2-tricloroacetaldeído.



Por fim, o 2,2,2-tricloroacetaldeído, em meio básico, sofre hidrólise formando o clorofórmio e o ácido fórmico, que se converte em formiato de sódio.

Referências:
CHEMICAL SAFETY. Acetaldeído. https://chemicalsafety.ilo.org/dyn/icsc/showcard.display?p_lang=pt&p_card_id=0009&p_version=2. Acesso em: 6 dez. 2025.
CHEMICAL SAFETY. Clorofórmio. Disponível em: https://chemicalsafety.ilo.org/dyn/icsc/showcard.display?p_lang=pt&p_card_id=0027&p_version=2. Acesso em: 6 dez. 2025.
LIRA et al. Misturas perigosas de produtos de limpeza – Conheça os perigos que elas oferecem à sua saúde. Disponível em: https://www.ccs.ufpb.br/depfarm/contents/arquivos/CartilhaMisturasPerigosas.pdf. Acesso em: 2 dez. 2025.

Serviço de e-mail